燕赵福彩网
河北省福利彩票发行管理中心官方网站
中文域名:河北省福利彩票发行管理中心.公益
首页
组织机构
机构职能
领导分工
新闻中心
福彩要闻
彩市动态
信息公开
通知公告
采购信息
年度发行销量
财务预算决算
销售网点公示
政策法规
政策法规
政策解读
福彩公益
本省公益金使用情况
公益活动
公益故事
责任彩票
责任彩票报告
理性购彩
福彩游戏
营销活动
当前位置:
信息公开
/
通知公告
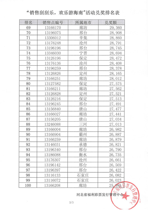
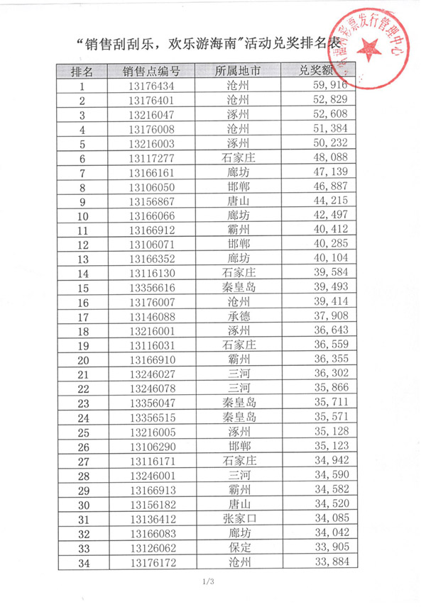
/ 【公告】“销售刮刮乐,欢乐游海南”活动兑奖排名表
【公告】“销售刮刮乐,欢乐游海南”活动兑奖排名表
来源:福彩中心
编辑:赵雄2016
发布时间:2016-02-02 14:45:58
阅读次数:
5182
上一篇: 【公告】中信银行石家庄分行成为河北省福利彩票管理中心合作银行
下一篇:【公告】彩市春节休市公告
福彩新闻